Study Materials

Swan Sample 4

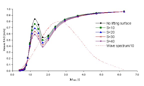
Output graph produced using MATLAB® Software.

Heave RAOs with foil positioned at x=0m. U=45 knots and AR=10.