Investigation 2 Image 18
file
37 kB
Investigation 2 Image 18
Alt text:
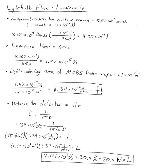
Handwritten notes about lightbulb flex and luminosity.
Caption:
Notes about lightbulb flux and luminosity.
Credit:
Image courtesy of Peter Ashton, Simba Kol and Shakib Ahmed.
Course Info
Instructors
As Taught In
Level
Learning Resource Types
assignment
Activity Assignments
theaters
Lecture Videos