Investigation 2 Image 40
file
62 kB
Investigation 2 Image 40
Alt text:
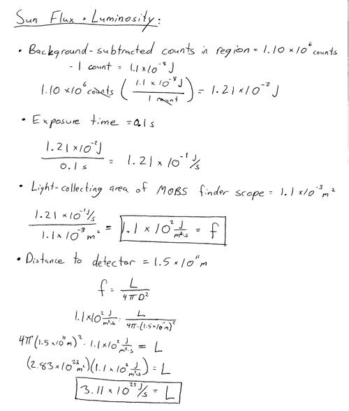
Handwritten notes about sun flux luminosity.
Caption:
Sun flux luminosity.
Credit:
Image courtesy of Peter Ashton, Simba Kol and Shakib Ahmed.
Course Info
Instructors
As Taught In
Level
Learning Resource Types
assignment
Activity Assignments
theaters
Lecture Videos