Investigation 2 Image 41
file
54 kB
Investigation 2 Image 41
Alt text:
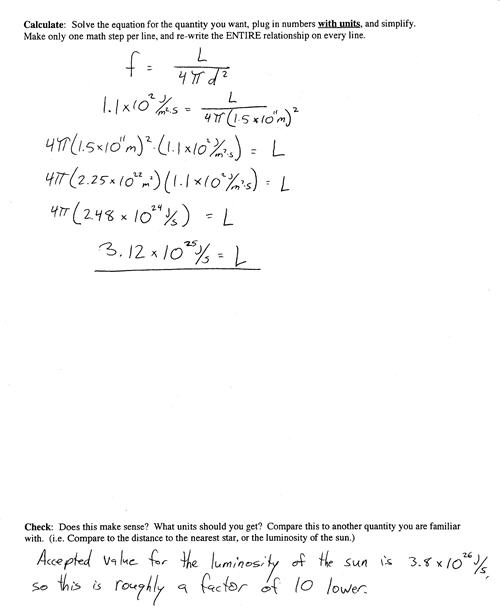
Handwritten problem set about sun luminosity.
Caption:
Problem set about sun luminosity.
Credit:
Image courtesy of Peter Ashton, Simba Kol and Shakib Ahmed.
Course Info
Instructors
As Taught In
Level
Learning Resource Types
assignment
Activity Assignments
theaters
Lecture Videos